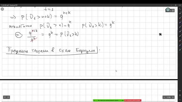
Видео 2021 03 11 ЛЭТИ ТВиМС лекция ColorCrazeCreators Опубликовано 02.11.2023 в 00:00:00 Продолжительность: 01:41:48 36 . Видео , видео от 2023-11-02 загрузил на rutube ColorCrazeCreators...