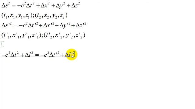
Видео Специальная теория относительности одновременность Ундозер Опубликовано 20.03.2026 в 00:00:00 Продолжительность: 00:05:10 1 . Видео , видео от 2026-03-20 загрузил на rutube Ундозер...