Видео
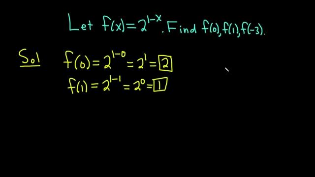
In this video we do several examples of evaluating an exponential function. We look at fx 21 - x and compute f0 f1 and f-3. Useful Math Supplies My Recording Gear these are my affiliate links Math Physics and Computer Science Books Epic ..., видео от 2024-01-11 загрузил на rutube Геометрические загадки и решения...
