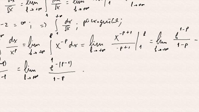
Видео Несколько несобственных инетегралов первого рода Математический сад Опубликовано 28.01.2025 в 00:00:00 Продолжительность: 00:28:02 2 . Видео , видео от 2025-01-28 загрузил на rutube Математический сад...