Видео
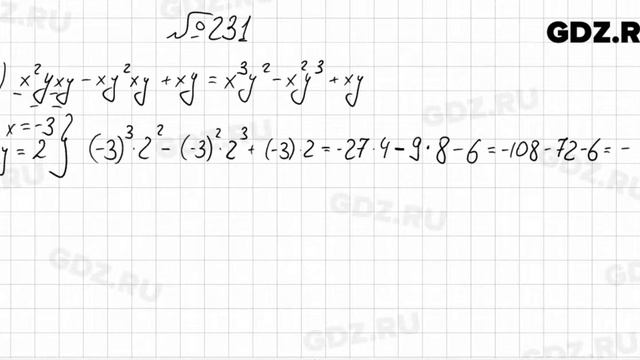
Видео решение к номеру 231 по алгебре за 7 класс авторов Колягин Ю.М. Ткачёва М.В. Фёдорова Н.Е. Шабунин М.И. Более подробное гдз к этому заданию можно найти здесь , видео от 2024-05-07 загрузил на rutube Советы и рекомендации...
Видео решение к номеру 231 по алгебре за 7 класс авторов Колягин Ю.М. Ткачёва М.В. Фёдорова Н.Е. Шабунин М.И. Более подробное гдз к этому заданию можно найти здесь , видео от 2024-05-07 загрузил на rutube Советы и рекомендации...
E-mail для обращений: amegainfiniti@mail.ru
