Видео
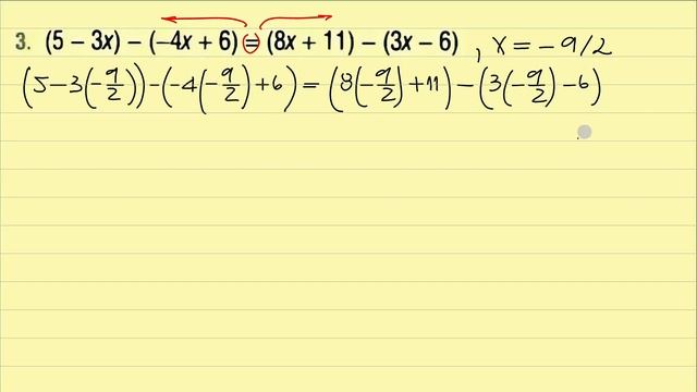
Ecuaciones de primer grado con signos de agrupación Ecuaciones con paréntesis Ecuaciones enteras de primer grado con una incógnita Ecuaciones de primer grado Ecuaciones lineales Ecuaciones en N Ecuaciones en Q Ecuaciones en Z..., видео от 2025-01-28 загрузил на rutube Загадочная геометрия...
