Видео
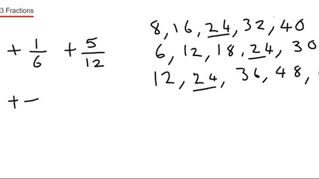
In this video you will be shown how to add three fractions with different denominators. To do this you will need to find a number that all the numbers on the denominators of the three fractions go into. So in the example 86 and 12 all go into..., видео от 2024-01-11 загрузил на rutube Геометрический мозговой тренинг: решай сложности...
