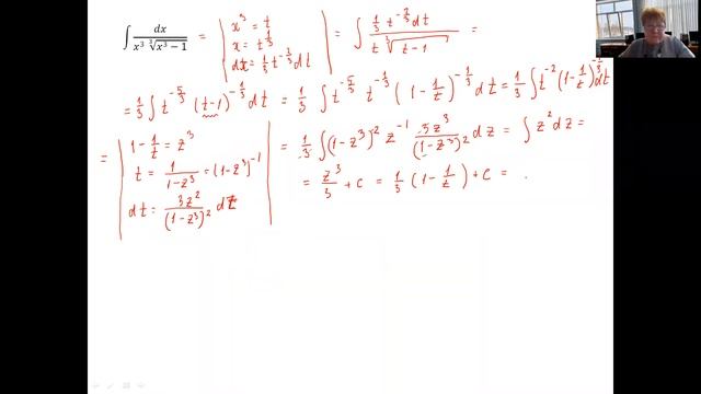
Видео 22 02 22 лекция 4 частные случаи вычисления неопределенных интегралов ГеоКосмос: путешествие сквозь пространство Опубликовано 11.01.2024 в 00:00:00 Продолжительность: 02:40:44 8 . Видео , видео от 2024-01-11 загрузил на rutube ГеоКосмос: путешествие сквозь пространство...