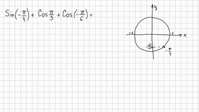
Видео video5228764589981724573 channel55301047 Опубликовано 23.01.2025 в 00:00:00 Продолжительность: 00:14:57 7 . Видео Тригонометрия, видео от 2025-01-23 загрузил на rutube channel55301047...